Concept about Carbohydrate – Introduction to fundamental concepts of Biological Science including the organization and common characteristics of living matters, cell structures and functions, food production by photosynthesis, harvesting energy, mechanism of cells reproduction, genetics, evolutions, and Human Biology. Introduction to general chemistry including basic concepts about matter, atomic structure, chemical bonds, gases, liquid, and solids, solutions, chemical reactions, acid, bases, and salt;
organic and biochemistry including hydrocarbons and their derivatives, carbohydrates, lipids, proteins, enzymes, vitamins, and minerals, nucleic acids; principles of physics and applications to nursing including gravity and mechanics, pressure, heat and electricity; nuclear chemistry and nuclear physics, effects of radiation on human beings, and protection and disposal. The aim of the course is to acquire knowledge and skills in general biological science, general chemistry and physics.
Concept about Carbohydrate
Carbohydrates are one of the main types of nutrients. They are the most important source of energy for your body. Carbohydrates are found in a wide array of both healthy and unhealthy foods-bread, beans, milk, popcorn, potatoes, cookies, spaghetti, soft drinks, corn, and cherry pie. They also come in a variety of forms. The most common and abundant forms are sugars, fibers, and starches.
Foods high in carbohydrates are an important part of a healthy diet. Carbohydrates provide the body with glucose, which is converted to energy used to support bodily functions and physical activity. But carbohydrate quality is important; some types of carbohydrate-rich foods are better than others:

Fig: Carbohydrate containing food
- The healthiest sources of carbohydrates-unprocessed or minimally processed whole grains, vegetables, fruits and beans-promote good health by delivering vitamins, minerals, fiber, and a host of important phytonutrients.
- Unhealthier sources of carbohydrates include white bread, pastries, sodas, and other highly processed or refined foods. These items contain easily digested carbohydrates that may contribute to weight gain, interfere with weight loss, and promote diabetes and heart disease.
Definition of Carbohydrate:
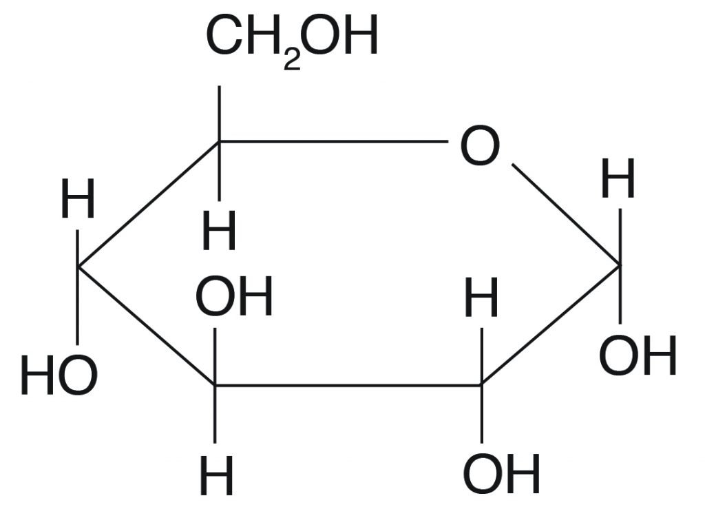
Carbohydrates are organic compounds composed of carbon, hydrogen and oxygen, with the later elements in the ratio of 2:1. The general formula is CnH2nOn. They are viewed as hydrated carbon atoms.
OTHER DEFINITIONS – NICE TO KNOW
- Carbohydrates are simple sugar, which consist of hydrogen, oxygen and carbon. Main sources of energy are provided through the carbohydrate.
- Carbohydrates are compounds consist of carbon, hydrogen and oxygen. It includes of starch and sugar in its various form.
- Carbohydrates are composed of carbon, hydrogen, and oxygen. They are the cheapest and main source of energy (4 kcal/gm) and it reserves (glycogen) of a human adult is about 500 gm.
Classification of Carbohydrate:
1. Monosaccharide – Monosaccharide’s are simple form of carbohydrates e.g., glucose or dextrose, fructose or levulose and galactose.
2. Disaccharides: – Disaccharides are the complex sugar. Important disaccharides are sucrose, maltose and lactose.
3. Polysaccharides: Common polysaccharides are starch, dextrin, glycogen, pectin and cellulose.
Sources of Carbohydratest
There are three main sources of carbohydrates.
| Source | Found in |
| 1. Starches |
|
| 2. Sugars |
|
| 3. Cellulose |
|
Carbohydrate is found in-
- Cereals such as wheat, rice millets, raggi, bajra and rnaize
- Roots and tubers such as tapioca, potato, sweet potato, coloccasia and yam.
- Fruits such as banana, apple, grapes and dried fruits
- Sugar, jaggary and honey.
- Pulses and vegetables contain small quantity of carbohydrates.
Daily requirement of carbohydrate:
It should be 50-70% of total energy intake. The daily requirement of carbohydrates for an adult is 400-600 gm.
Functions of Carbohydrate:
1. Carbohydrates Provide main source of energy
2. Help the body to use protein and fat ‘efficiently.
3. Supply fiber that helps in the formation of the bulk for better digestion.
4. Can convert itself into fat.
5. Essential for the synthesis of certain nonessential amino acids.
6. Carbohydrates remove poisonous substances from the liver.
7. Lactose helps in the absorption of calcium.
8. Carbohydrate provides taste and flavor to the diet
9. Cellulose and indigestible polysaccharides prevent constipation.
10. Carbohydrates help in retention of water in the colon
11. Carbohydrates help in mobility of the intestines.
12. Carbohydrate helps in formation of nucleic acid and matrix of connective tissues.
13. Carbohydrates help the growth of desirable bacteria in the small intestines.
Results of absence of dietary carbohydrates:
Carbohydrate has two types disease condition. Such as:
| 1. Excess consumption of carbohydrates |
|
| 2. Deficiency of carbohydrates: |
|
Metabolism of Carbohydrate/Digestion, Absorption and Utilization of Carbohydrate:
Digestion:
1. The first stage of digestion of carbohydrate takes place in the mouth. Chewing breaks up food and exposes starch and sugars to the action of enzymes.
2. Saliva contains salivary amylase (ptyalin). It converts starch to maltose but time limits the action of salivary amylase, because as food enters the stomach, the acid present in the stomach blocks the action of salivary amylase.
3. In the stomach the acid causes hydrolysis of sucrose. In the small intestine pancreatic amylase and intestinal amylase digest starch up to the stage of maltose.
Starch – Salivary, pancreatic /& intestinal amylase – Maltose + Isomaltose
4. Glycogen is also broken by these enzymes to dissacharides. Enzymes maltase, sucrase and lactase present in the brush borders of the columnar cells of small intestine convert dissacharides to monosaccharides.

5. Cellulose and other polysaccharides are not digested by enzymes, so undigested material passes to large intestine forming bulk which contributes to faeces.
6. The end products of carbohydrate digestion are monosaccharides – glucose, galactose and fructose.
7. They are absorbed by process of active absorption by the mucosa of the small intestine.
Metabolism:
- Metabolism occurs inside the various cells of the body.
- There are two types of metabolism; anabolism (building up) and catabolism (breaking down).
- The major carbohydrate anabolic path ways are conversion of glucose into glycogen (glycogenesis) in the liver and muscles.
- The conversion of glucose into fat (lipogenesis) in the liver and adipose tissue.
Carbohydrates follow two major catabolic pathways:
- The breakdown of glucose releasing energy (glycolysis) and converting it into usable energy (ATP) and the conversion of glycogen to glucose (glycogenolysis).
- After digestion and absorption of glucose into the blood stream it is utilized directly by the tissues for energy.
- When the absorbed glucose exceeds the body’s need for energy it is stored as glycogen in the liver and muscle and excess glucose is converted to triglycerides and stored as fat in adipose tissue.

Fig: Structure of carbohydrates
